Đấu giá 23 ô đất tại phường trung tâm tỉnh Phú Thọ, giá từ 25 triệu đồng/m2

Công ty Đấu giá hợp danh VNA thông báo tổ chức đấu giá quyền sử dụng 23 ô đất ở đô thị tại phường Việt Trì, tỉnh Phú Thọ, giá khởi điểm 25 triệu đồng/m2.

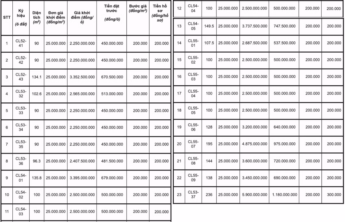
Công ty Đấu giá hợp danh VNA vừa thông báo đấu giá quyền sử dụng 23 ô đất ở đô thị tại đường Nguyễn Du, phường Việt Trì, tỉnh Phú Thọ. Tổng giá khởi điểm cho toàn bộ tài sản là 67,92 tỷ đồng. Đơn vị có tài sản đấu giá là Trung tâm Phát triển quỹ đất Phú Thọ.

Các ô đất có diện tích từ 90 đến hơn 230 m2, tương đương giá khởi điểm từ 2,2 tỷ đồng đến 5,9 tỷ đồng.

phu-tho-dau-gia-23-o-dat-tai-phuong-viet-tri-gia-khoi-diem-25-trieu-dongm2.png
Diện tích các ô đất chuẩn bị đấu giá và giá khởi điểm.

Hồ sơ mời tham gia đấu giá được bán và tiếp nhận từ 8h ngày 3/12 đến 17h ngày 17/12 trên hệ thống đấu giá trực tuyến của Công ty Đấu giá hợp danh VNA. Tiền đặt trước cũng cần nộp trong khoảng thời gian này qua tài khoản của Công ty Đấu giá hợp danh VNA. Khách hàng phải đăng ký tài khoản và bấm đăng ký tham gia đấu giá trên hệ thống để được xét duyệt.

Hồ sơ và tài liệu liên quan được cung cấp trực tuyến; người dân có thể tham khảo tại địa chỉ daugiavna.vn hoặc liên hệ trực tiếp tại trụ sở công ty và Trung tâm Phát triển quỹ đất Phú Thọ.

Việc xem tài sản được thực hiện bằng hai hình thức: Xem trực tuyến từ ngày niêm yết cho đến trước ngày mở phiên và xem trực tiếp tại khu đất từ ngày 8 đến 10/12 trong giờ hành chính. Địa điểm tài sản nằm trên đường Nguyễn Du, phường Việt Trì.

Phiên đấu giá được tổ chức trực tuyến theo phương thức trả giá lên, diễn ra từ 7h30 đến 11h40 ngày 22/12 đối với từng ô đất theo khung giờ đã công bố.

Đọc nhiều nhất

Thuế... và câu hỏi tài chính minh bạch?

Thuế... và câu hỏi tài chính minh bạch?

"Việc điều chỉnh chính sách thuế năm 2026 không đơn thuần là sự thay đổi của những con số, mà là một chiến lược tái cấu trúc có chủ đích để nuôi dưỡng nguồn thu bền vững và thúc đẩy một nền kinh tế số liêm chính." — Tiến sĩ Nguyễn Phúc Quý Thạnh, Giảng viên Trường Đại học Ngân hàng TP.HCM.

Tin mới

Thuế... và câu hỏi tài chính minh bạch?

Thuế... và câu hỏi tài chính minh bạch?

"Việc điều chỉnh chính sách thuế năm 2026 không đơn thuần là sự thay đổi của những con số, mà là một chiến lược tái cấu trúc có chủ đích để nuôi dưỡng nguồn thu bền vững và thúc đẩy một nền kinh tế số liêm chính." — Tiến sĩ Nguyễn Phúc Quý Thạnh, Giảng viên Trường Đại học Ngân hàng TP.HCM.