Đề thi thử THPT quốc gia 2015 môn Toán toàn tỉnh Nam Định ngày 4/6
(Kiến Thức) - Sáng 4/6, Sở GD-ĐT tỉnh Nam Định tổ chức kỳ thi thử THPT quốc gia năm 2015 với môn thi đầu tiên là Toán. Kiến Thức xin giới thiệu Đề thi Toán trên.
Để giúp HS làm quen với đề thi, kỹ năng làm bài thi trong kỳ thi THPT Quốc gia; giúp HS tự đánh giá quá trình học tập; các giáo viên (GV), nhà trường/trung tâm đánh giá việc dạy và học từ đó có những giải pháp hữu hiệu trong việc tổ chức dạy - học đáp ứng kỳ thi THPT Quốc gia trong thời gian còn lại; Sở GD-ĐT Nam Định tổ chức kỳ thi thử THTP Quốc gia từ ngày 4-7/6. Môn thi đầu tiên trong kỳ thi này là môn Toán.
Kiến Thức xin giới thiệu tới bạn đọc Đề thi thử THPT quốc gia 2015 môn Toán toàn tỉnh Nam Định sáng 4/6.
Đề thi gồm 10 câu, thời gian làm bài 180 phút. Thang điểm chấm là 10.
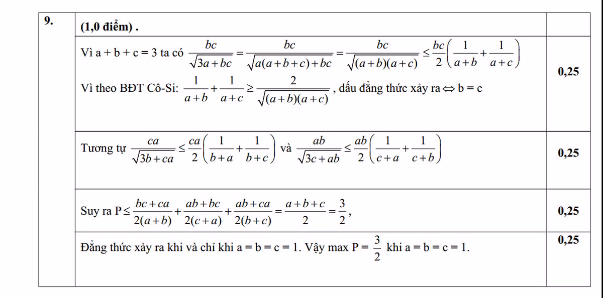
Dưới đây là nguyên văn đề thi thử THPT quốc gia môn Toán trên:
 |
| Đề thi thử THPT quốc gia 2015 môn Toán toàn tỉnh Nam Định. |
Kiến Thức sẽ giới thiệu đáp án đề thi thử môn Toán trên ở bài sau.