Thầy giáo đặt mật khẩu wifi IQ vô cực, CĐM "chắp tay xin thua"

Thầy giáo đặt mật khẩu wifi IQ vô cực, CĐM "chắp tay xin thua"

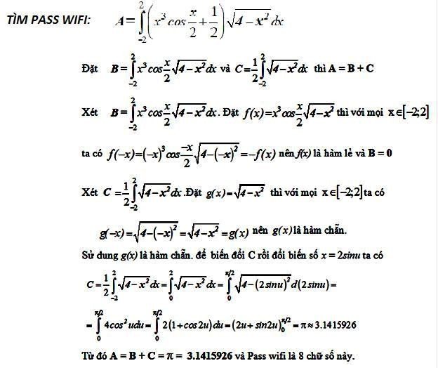
(Kiến Thức) - Thay vì cấm học sinh sử dụng điện thoại trong trường, một vị hiểu trưởng đã đưa ra một bài toán để các học trò của mình thử sức và phần thưởng là mật khẩu wifi.

Mới đây trên MXH, mà một thầy giáo đã nghĩ ra kế sách cực kỳ đỉnh cao để học trò được sử dụng wifi, tiện thể lại có thêm thời gian ôn bài đã thu hút sự chú ý của CĐM.
Mới đây trên MXH, mà một thầy giáo đã nghĩ ra kế sách cực kỳ đỉnh cao để học trò được sử dụng wifi, tiện thể lại có thêm thời gian ôn bài đã thu hút sự chú ý của CĐM.
Theo đó, hiệu trưởng của một ngôi trường đã đặt mật khẩu wifi bằng kết quả của một bài tập Toán Đại số và đáp án cũng chính là phần thưởng cho người xứng đáng nhất đó là sử dụng internet "chùa".
Theo đó, hiệu trưởng của một ngôi trường đã đặt mật khẩu wifi bằng kết quả của một bài tập Toán Đại số và đáp án cũng chính là phần thưởng cho người xứng đáng nhất đó là sử dụng internet "chùa".
Màn đặt mật khẩu wifi bá đạo của vị thầy giáo trên đã khiến học sinh phải trầm trồ vì độ bá đạo.
Màn đặt mật khẩu wifi bá đạo của vị thầy giáo trên đã khiến học sinh phải trầm trồ vì độ bá đạo.
Bên cạnh việc đưa ra đề bài và có phần thưởng là được sử dụng wifi chùa, điều kiện mà thầy giáo trên đưa ra đó là học sinh chỉ có 1 tiếng để tìm ra pass.
Bên cạnh việc đưa ra đề bài và có phần thưởng là được sử dụng wifi chùa, điều kiện mà thầy giáo trên đưa ra đó là học sinh chỉ có 1 tiếng để tìm ra pass.
Tuy không cấm học sinh sử dụng điện thoại trong khuôn viên trường nhưng học sinh hẳn phải trầy trật lắm mới tìm ra được pass wifi.
Tuy không cấm học sinh sử dụng điện thoại trong khuôn viên trường nhưng học sinh hẳn phải trầy trật lắm mới tìm ra được pass wifi.
Chứng kiến màn đặt mật khẩu bá đạo của vị thầy giáo trên nhiều người đã từ bỏ cuộc chơi ngay lập tức và chấp nhận mất tiền để dùng mạng 3G hoặc 4G.
Chứng kiến màn đặt mật khẩu bá đạo của vị thầy giáo trên nhiều người đã từ bỏ cuộc chơi ngay lập tức và chấp nhận mất tiền để dùng mạng 3G hoặc 4G.
Quả thực, vỏ quýt dày luôn có móng tay nhọn, những tưởng dễ ăn nhưng lại khó nhằn với bài toán để có mật khẩu wifi mà thầy giáo trên đưa ra.
Quả thực, vỏ quýt dày luôn có móng tay nhọn, những tưởng dễ ăn nhưng lại khó nhằn với bài toán để có mật khẩu wifi mà thầy giáo trên đưa ra.
Đúng là không thể đùa được với các thầy cô, họ luôn có cả một bụng cách trị học trò chỉ là chưa tung ra hết chiêu và màn đặt mật khẩu wifi trên là một minh chứng cụ thể.
Đúng là không thể đùa được với các thầy cô, họ luôn có cả một bụng cách trị học trò chỉ là chưa tung ra hết chiêu và màn đặt mật khẩu wifi trên là một minh chứng cụ thể.
Dưới phần đăng tải hình ảnh màn đặt mật khẩu wifi bá đạo, không ít các dân mạng đã để lại ý kiến như: "Mấy cái đề này dễ mà, áp dụng công thức là ra, nhưng công thức nào thì mình không biết!" hay "Tưởng dễ ăn mà ăn không dễ. Mình xin phép từ bỏ cuộc chơi và quay về với 4G thân yêu!".
Dưới phần đăng tải hình ảnh màn đặt mật khẩu wifi bá đạo, không ít các dân mạng đã để lại ý kiến như: "Mấy cái đề này dễ mà, áp dụng công thức là ra, nhưng công thức nào thì mình không biết!" hay "Tưởng dễ ăn mà ăn không dễ. Mình xin phép từ bỏ cuộc chơi và quay về với 4G thân yêu!".
Thậm chí, đừng trước bài toán để có mật khẩu wifi trên, dân mạng còn bình luận rằng: "Em xin bái phục thầy luôn ạ! Ai là thánh giải Toán xin vào tiếp chỉ thầy, còn em xin dừng bước!".
Thậm chí, đừng trước bài toán để có mật khẩu wifi trên, dân mạng còn bình luận rằng: "Em xin bái phục thầy luôn ạ! Ai là thánh giải Toán xin vào tiếp chỉ thầy, còn em xin dừng bước!".
Trước đó, không ít lần các dân mạng từng chứng kiến những màn giải toán để có mật khẩu wifi vô cùng bá đạo.
Trước đó, không ít lần các dân mạng từng chứng kiến những màn giải toán để có mật khẩu wifi vô cùng bá đạo.
Mời quý độc giả xem video: Thấy giáo Nguyễn Đức Trường - 1 trong 10 công dân thủ đô ưu tú 2020 - Nguồn: VTV24

GALLERY MỚI NHẤT

Hàng nghìn người hưởng ứng “Hành động Xanh - Chọn tương lai Xanh”

Hàng nghìn người hưởng ứng “Hành động Xanh - Chọn tương lai Xanh”

Sáng 4/4, hàng nghìn người dân và thanh niên trên khắp cả nước cùng tham gia hoạt động dọn dẹp vệ sinh khu phố và thu gom đồ dùng cũ, hưởng ứng lời kêu gọi “Hành động Xanh - Chọn tương lai Xanh” do Quỹ Vì Tương lai xanh do Tập đoàn Vingroup phát động. Đây là một trong những hoạt động tiêu biểu mở màn cho chuỗi chiến dịch “Thứ 4 Ngày Xanh” được Quỹ triển khai xuyên suốt năm 2026 với thông điệp “Hành động Xanh - Chọn tương lai Xanh”.