Muôn kiểu mật khẩu wifi “hack não” gây ức chế cho người xin

Muôn kiểu mật khẩu wifi “hack não” gây ức chế cho người xin

(Kiến Thức) - Với những mật khẩu wifi dạng giải toàn hay hóa đã khiến người dùng cảm thấy khá nan giải còn những kẻ muốn dùng chùa thì phải bó tay.

Với nhiều người, việc hỏi mật khẩu wifi ở 1 điểm đến là điều khá bình thường. Tuy nhiên, không phải bất cứ đâu cũng để password dễ tìm, điển hình như việc bạn buộc phải giải 1 bài toán hay hóa để có được thứ mình cần.
Với nhiều người, việc hỏi mật khẩu wifi ở 1 điểm đến là điều khá bình thường. Tuy nhiên, không phải bất cứ đâu cũng để password dễ tìm, điển hình như việc bạn buộc phải giải 1 bài toán hay hóa để có được thứ mình cần.
Người dùng nếu muốn có pass wifi cần phải giải hệ phương trình khá phức tạp, điều này khiến nhiều người cảm thấy thích thú. Họ cho rằng đây là cách hay để truyền cảm hứng học tập.
Người dùng nếu muốn có pass wifi cần phải giải hệ phương trình khá phức tạp, điều này khiến nhiều người cảm thấy thích thú. Họ cho rằng đây là cách hay để truyền cảm hứng học tập.
Cách đây không lâu, nhiều học sinh cũng từng lan truyền bức ảnh cô giáo cung cấp pass wifi qua một phương trình đại số rắc rối. Kết quả là nhiều học sinh thà tự bật 3G hoặc không nghĩ đến chuyện vào mạng hơn là cố gắng ngồi giải.
Cách đây không lâu, nhiều học sinh cũng từng lan truyền bức ảnh cô giáo cung cấp pass wifi qua một phương trình đại số rắc rối. Kết quả là nhiều học sinh thà tự bật 3G hoặc không nghĩ đến chuyện vào mạng hơn là cố gắng ngồi giải.
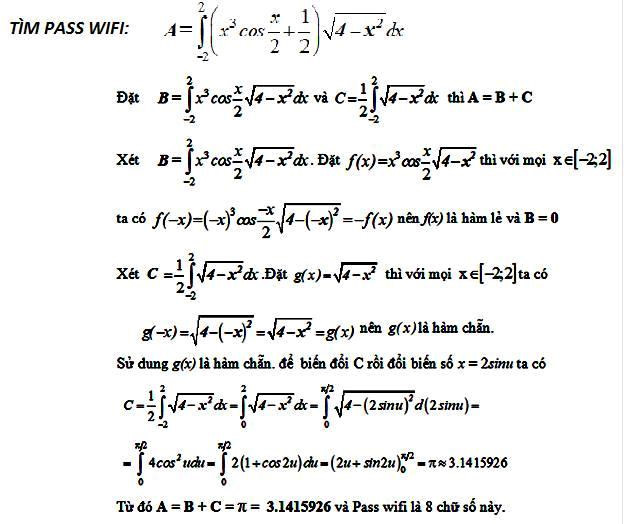
Bước vào quán cà phê, xin pass wifi mà chủ quán bắt giải bài toán tích phân này để lấy mật khẩu chắc hẳn nhiều người sẽ phải toát mồ hôi.
Bước vào quán cà phê, xin pass wifi mà chủ quán bắt giải bài toán tích phân này để lấy mật khẩu chắc hẳn nhiều người sẽ phải toát mồ hôi.
Ngày 23/10/2018, học sinh trường THPT Nguyễn Công Trứ (An Giang) đăng ảnh chụp đề Toán trên một diễn đàn. Điều đặc biệt, đề bài này không phải bài tập về nhà hay đề thi mà chính là câu đố dành cho những học trò muốn sử dụng wifi miễn phí ở trường.
Ngày 23/10/2018, học sinh trường THPT Nguyễn Công Trứ (An Giang) đăng ảnh chụp đề Toán trên một diễn đàn. Điều đặc biệt, đề bài này không phải bài tập về nhà hay đề thi mà chính là câu đố dành cho những học trò muốn sử dụng wifi miễn phí ở trường.
Không chỉ Toán mà ngay cả bộ môn Hóa học cũng được áp dụng để thách đố lẫn nhau để có pass wifi.
Không chỉ Toán mà ngay cả bộ môn Hóa học cũng được áp dụng để thách đố lẫn nhau để có pass wifi.
Bên cạnh những mật khẩu wifi bằng cách giải toán hay hóa thì nhiều chủ quán cũng vui tính khi đặt ra những password dễ gây hiểu lầm.
Bên cạnh những mật khẩu wifi bằng cách giải toán hay hóa thì nhiều chủ quán cũng vui tính khi đặt ra những password dễ gây hiểu lầm.
Pass lẫn lộn cả chữ cả số quả là khó hack cho những kẻ muốn dùng chùa.
Pass lẫn lộn cả chữ cả số quả là khó hack cho những kẻ muốn dùng chùa.
Mật khẩu wifi "Ngu thì đừng hỏi" khiến dân mạng cười ngả nghiêng.
Mật khẩu wifi "Ngu thì đừng hỏi" khiến dân mạng cười ngả nghiêng.
Người đẹp phải nhờ nhân viên nhà hàng trợ giúp vì mật khẩu wifi dài và khó nhớ.
Người đẹp phải nhờ nhân viên nhà hàng trợ giúp vì mật khẩu wifi dài và khó nhớ.

GALLERY MỚI NHẤT