Loạt mật khẩu wifi “hại não” khiến ai thấy cũng đành dùng 4G

Loạt mật khẩu wifi “hại não” khiến ai thấy cũng đành dùng 4G

Dù đã giải cả đống phương trình hóa học nhưng nhiều người vẫn không thể nào tìm được mật khẩu wifi gây ức chế này.

Đã qua cái thời dùng mật khẩu “chơi chữ”, bây giờ muốn dùng wifi “chùa” hay để biết được pass tài khoản thì còn phải giải cả phương trình hóa học.
Đã qua cái thời dùng mật khẩu “chơi chữ”, bây giờ muốn dùng wifi “chùa” hay để biết được pass tài khoản thì còn phải giải cả phương trình hóa học.
Nội dung câu hỏi hoá học để giải mật khẩu wifi này đưa ra để "thách thức" dân mạng. Mặc dù chuyển sang hướng kinh doanh, nhưng niềm đam mê Hoá của chị chủ quán không bao giờ ''tắt''.
Nội dung câu hỏi hoá học để giải mật khẩu wifi này đưa ra để "thách thức" dân mạng. Mặc dù chuyển sang hướng kinh doanh, nhưng niềm đam mê Hoá của chị chủ quán không bao giờ ''tắt''.
Đây vừa là bài toán, vừa là những câu ngôn tình hóc búa để những ai xin mật khẩu Wifi đỡ ức chế hơn.
Đây vừa là bài toán, vừa là những câu ngôn tình hóc búa để những ai xin mật khẩu Wifi đỡ ức chế hơn.
Chỉ một thời gian ngắn sau khi đăng tải trên MXH, chiếc mật khẩu bá đạo này đã thu hút được rất nhiều sự chú ý của cư dân mạng.
Chỉ một thời gian ngắn sau khi đăng tải trên MXH, chiếc mật khẩu bá đạo này đã thu hút được rất nhiều sự chú ý của cư dân mạng.
Bức ảnh mật khẩu wifi "hại não" được cô giáo cung cấp lan truyền rộng khắp MXH khá lâu, kết quả là nhiều học sinh thà tự bật 3G hoặc không nghĩ đến chuyện vào mạng hơn là cố gắng ngồi giải.
Bức ảnh mật khẩu wifi "hại não" được cô giáo cung cấp lan truyền rộng khắp MXH khá lâu, kết quả là nhiều học sinh thà tự bật 3G hoặc không nghĩ đến chuyện vào mạng hơn là cố gắng ngồi giải.
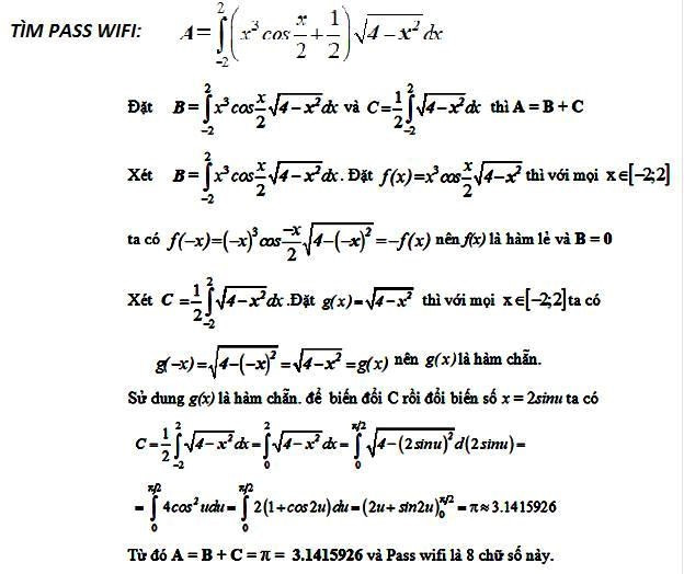
Xin pass wifi mà chủ quán bắt giải bài toán tích phân này để lấy mật khẩu chắc hẳn nhiều người sẽ phải toát mồ hôi.
Xin pass wifi mà chủ quán bắt giải bài toán tích phân này để lấy mật khẩu chắc hẳn nhiều người sẽ phải toát mồ hôi.
Đề bài này không phải bài tập về nhà hay đề thi mà chính là câu đố dành cho những học trò muốn sử dụng wifi miễn phí ở trường.
Đề bài này không phải bài tập về nhà hay đề thi mà chính là câu đố dành cho những học trò muốn sử dụng wifi miễn phí ở trường.
Đặt pass wifi kiểu khó đỡ xưa rồi, giờ phải dùng phương trình toán học để mã hóa mật khẩu mới là "hot trend". Ảnh: Tổng hợp
Đặt pass wifi kiểu khó đỡ xưa rồi, giờ phải dùng phương trình toán học để mã hóa mật khẩu mới là "hot trend". Ảnh: Tổng hợp

GALLERY MỚI NHẤT

Hàng nghìn người hưởng ứng “Hành động Xanh - Chọn tương lai Xanh”

Hàng nghìn người hưởng ứng “Hành động Xanh - Chọn tương lai Xanh”

Sáng 4/4, hàng nghìn người dân và thanh niên trên khắp cả nước cùng tham gia hoạt động dọn dẹp vệ sinh khu phố và thu gom đồ dùng cũ, hưởng ứng lời kêu gọi “Hành động Xanh - Chọn tương lai Xanh” do Quỹ Vì Tương lai xanh do Tập đoàn Vingroup phát động. Đây là một trong những hoạt động tiêu biểu mở màn cho chuỗi chiến dịch “Thứ 4 Ngày Xanh” được Quỹ triển khai xuyên suốt năm 2026 với thông điệp “Hành động Xanh - Chọn tương lai Xanh”.