Loạn nhịp khi nghe dân toán tỏ tình qua những phương trình, đồ thị

Loạn nhịp khi nghe dân toán tỏ tình qua những phương trình, đồ thị

(Kiến Thức) - Có ai từng được tỏ tình bằng những lời yêu toán học chưa?  Những lời tỏ tình không phải bằng những câu văn ngọt ngào mà là những phương trình đồ thị. Tỏ tình độc đáo có 1-0-2 như thế, trái tim ai chẳng loạn nhịp.

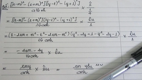
Nhắc đến toán, người ta nghĩ ngay đến những điều khô khan. Thậm chí mọi người còn ngầm hiểu: dân toán cứng nhắc chẳng thể nào thốt ra được những lời tỏ tình ngọt ngào bay bổng. Bằng sự kết hợp giữa toán học và tình yêu, bài toán rút gọn biểu thức đã khiến dân mạng thích thú bởi cho ra đáp số kỳ lạ: em yêu anh.
Nhắc đến toán, người ta nghĩ ngay đến những điều khô khan. Thậm chí mọi người còn ngầm hiểu: dân toán cứng nhắc chẳng thể nào thốt ra được những lời tỏ tình ngọt ngào bay bổng. Bằng sự kết hợp giữa toán học và tình yêu, bài toán rút gọn biểu thức đã khiến dân mạng thích thú bởi cho ra đáp số kỳ lạ: em yêu anh.
Những đề toán tưởng chừng phức tạp, khô khan bỗng chốc trở nên lãng mạng bởi đáp án cuối cùng chính là lời tỏ tình ngọt ngào.
Những đề toán tưởng chừng phức tạp, khô khan bỗng chốc trở nên lãng mạng bởi đáp án cuối cùng chính là lời tỏ tình ngọt ngào.
Trào lưu tỏ tình bằng phương trình và đồ thị, không chỉ thu hút dân toán mà còn được rất nhiều các bạn trẻ yêu thích và áp dụng.
Trào lưu tỏ tình bằng phương trình và đồ thị, không chỉ thu hút dân toán mà còn được rất nhiều các bạn trẻ yêu thích và áp dụng.
Cư dân mạng, "truyền tay" nhau những lời tỏ tình đặc biệt.
Cư dân mạng, "truyền tay" nhau những lời tỏ tình đặc biệt.
Bài toán chứng minh rằng không tồn tại một tình yêu đơn phương cũng giống như một đề phải luôn có hai nghiệm.
Bài toán chứng minh rằng không tồn tại một tình yêu đơn phương cũng giống như một đề phải luôn có hai nghiệm.
Những lời tỏ tình dễ thương không chỉ các chàng áp dụng để làm rung động những cô gái, mà rất nhiều các cô gái cũng thể hiện tình yêu của mình thông qua những dãy số đáng yêu này.
Những lời tỏ tình dễ thương không chỉ các chàng áp dụng để làm rung động những cô gái, mà rất nhiều các cô gái cũng thể hiện tình yêu của mình thông qua những dãy số đáng yêu này.
Đến cả "thánh toán" cũng phải chịu nhường việc tìm ra đáp án cho "thần cupid"
Đến cả "thánh toán" cũng phải chịu nhường việc tìm ra đáp án cho "thần cupid"
Đến cả công thức toán học cao siêu nhất cũng phải chào thua với bài toán đơn giản.
Đến cả công thức toán học cao siêu nhất cũng phải chào thua với bài toán đơn giản.
Anh cứ việc ngồi một chỗ, việc bày tỏ tình cảm cứ để em lo.
Anh cứ việc ngồi một chỗ, việc bày tỏ tình cảm cứ để em lo.
Sau tất cả các bước cộng trừ khai căn, đáp án ta nhận được là một tình yêu hoàn chỉnh.
Sau tất cả các bước cộng trừ khai căn, đáp án ta nhận được là một tình yêu hoàn chỉnh.

GALLERY MỚI NHẤT