Năm 2015, trường Đại học Quốc gia Hà Nội không tuyển sinh dựa vào kết quả kỳ thi THPT quốc gia như đa số các trường đại học, cao đẳng khác mà tổ chức kỳ thi riêng. Kỳ thi riêng này được gọi là thi đánh giá năng lực. Hiện nhiều học sinh đang khá băn khoăn về cấu trúc của đề thi đánh giá năng lực của Đại học Quốc gia Hà Nội.
Kiến Thức giới thiệu bài thi thử đánh giá năng lực môn Toán của Đại học Quốc gia Hà Nội năm 2015. Bài thi gồm 50 câu hỏi, thời gian làm 80 phút.
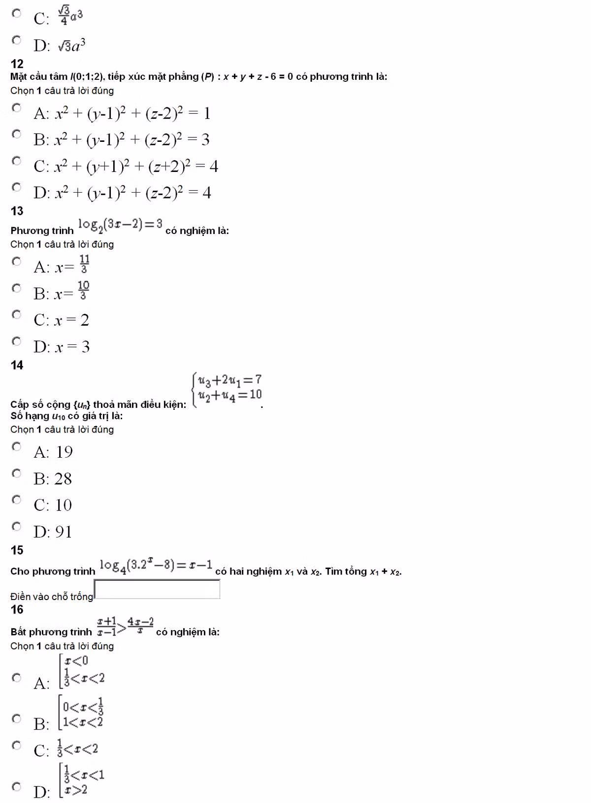
![]() |
| Bài thi thử đánh giá năng lực chung môn Toán - ĐHQGHN - ảnh 1. |
![]() |
| Bài thi thử đánh giá năng lực chung môn Toán - ĐHQGHN - ảnh 2. |
![]() |
| Bài thi thử đánh giá năng lực chung môn Toán - ĐHQGHN - ảnh 3. |
![]() |
| Bài thi thử đánh giá năng lực chung môn Toán - ĐHQGHN - ảnh 4. |
![]() |
| Bài thi thử đánh giá năng lực chung môn Toán - ĐHQGHN - ảnh 5. |
![]() |
| Bài thi thử đánh giá năng lực chung môn Toán - ĐHQGHN - ảnh 6. |
![]() |
| Bài thi thử đánh giá năng lực chung môn Toán - ĐHQGHN - ảnh 7. |
![]() |
| Bài thi thử đánh giá năng lực chung môn Toán - ĐHQGHN - ảnh 8. |
![]() |
| Bài thi thử đánh giá năng lực chung môn Toán - ĐHQGHN - ảnh 9. |
* Độc giả vui lòng click vào ảnh để xem hình to hơn.









