![]() |
| Đề thi thử THPT quốc gia năm 2015 của trường THPT Trần Đại Nghĩa. |
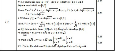
Sau đây là đáp án đề thi thử môn Toán trên:
![]() |
![]() |
![]() |
![]() |
![]() |
| Đáp án đề thi thử THPT quốc gia môn Toán. |
![]() |
| Đề thi thử THPT quốc gia năm 2015 của trường THPT Trần Đại Nghĩa. |
Sau đây là đáp án đề thi thử môn Toán trên:
![]() |
![]() |
![]() |
![]() |
![]() |
| Đáp án đề thi thử THPT quốc gia môn Toán. |
Dưới đây là đề thi thử THPT quốc gia môn Vật lý năm 2015 do Đại học Sư phạm Hà Nội đưa ra. Đề thi gồm 50 câu trắc nghiệm, thời gian làm bài 90 phút.
Câu 1: Khi nói về biên độ của dao động tổng hợp, phát biểu nào sau đây sai? Dao động tổng hợp của hai dao động điều hòa cùng phương, cùng tần số có biên độ phụ thuộc vào
A. biên độ của dao động thành phần thứ nhất
B. biên độ của dao động thành phần thứ hai
C. tần số chung của hai dao động
D. độ lệch pha giữa hai dao động thành phần
Câu 2: Một vật nhỏ dao động điều hòa trên quỹ đạo dài 40cm. Khi qua li độ 10cm, vật có vận tốc bằng 20pi√3 cm/s. Chọn gốc thời gian lúc vật qua vị trí cân bằng theo chiều âm. Phương trình dao động của vật là:
![]() |
Câu 3: Con lắc lò xo treo thẳng đứng, dao động điều hòa với biên độ 8 cm và chu kì 0,4 s. Chọn trụ Ox thẳng đứng, chiều dương hướng xuống, gốc tọa độ tại vị trí cân bằng, gốc thời gian khi vật qua vị trí cân bằng theo chiều dương. Thời gian ngắn nhất kể từ đến khi lực đàn hồi của lò xo cực tiểu là
A. 4/15 s B. 7/30 s C. 3/10 s D. 1/30 s
Câu 4: Một vật dao động điều hòa với phương trình x = 6cos(ωt-pi)cm. Sau thời gian 1/30 s, vật đi được đoạn đường 9 cm. Số dao động vật thực hiện được trong mỗi giây là
A. 5 B. 10 C. 15 D. 20
Câu 5: Một quả cầu nhỏ bằng kim loại, tích điện C=5,66.10-6 C, khối lượng 10 g, được treo trên một sợi dây mảnh, cách điện, dài 1,4 m. Con lắc được đặt trong điện trường đều có phương nằm ngang, cường độ 104V/m, tại nơi có gia tốc trọng trường g=9,8 m/s2. Con lắc dao động nhỏ quanh vị trí cân bằng. Chu kì dao động của con lắc là
A. 2,21 s B. 2,37 s C. 2,12 s D. 2,47 s
Câu 6: Một quả cầu nhỏ khối lượng m=200g và một lò xo lí tưởng, chiều dài tự nhiên l0=24 cm, độ cứng k=49 N/m. Cho quả cầu dao động điều hòa với biên độ 4cm quanh vị trí cân bằng trên đường dốc chính của một mặt phẳng nghiêng ( góc nghiêng 300 so với phương ngang). Lấy g=9,8 m/s2, bỏ qua ma sát. Chiều dài lò xo biến đổi trong phạm vi
A. từ 20cm đến 28 cm B. từ 22 cm đến 30 cm
C. từ 24 cm đến 32 cm D. từ 18 cm đến 26 cm
Câu 7: Vật nhỏ khối lượng 200 g trong một con lắc lò xo dao động điều hòa với chu kì T và biên độ 4 cm. Biết trong một chu kì, khoảng thời gian vật nhỏ có độ lớn gia tốc không nhỏ hơn 500 √2 cm/s2 là T/2. Độ cứng lò xo là
A. 30 N/m B. 20 N/m C. 40 N/m D. 50 N/m
Câu 8: Vận tốc tức thời của một vật dao động là v=40pi.cos(5pi.t + pi/3)cm/s. Vào thời điểm nào sau đây vật sẽ đi qua li độ 4cm theo chiều âm của trục tọa độ?
A. 0,1 s B. 1/3 s C. 1/6 s D. 0,3 s
Câu 9: Một con lắc lò xo nằm ngang, dao động điều hòa. Cứ sau khoảng thời gian bằng 0,06 s, động năng của con lắc lại có giá trị bằng thế năng của nó. Biết lò xo có độ cứng 50 N/m. Khối lượng của vật nặng gắn với con lắc bằng
A. 72 g B. 18 g C. 48 g D. 96 g
Câu 10: Khi nói về dao động cưỡng bức, phát biểu nào đúng?
A. Dao động cưỡng bức có biên độ không đổi và có tần số bằng tần số ngoại lực cưỡng bức
B. Dao động cưỡng bức có tần số nhỏ hơn tần số của lực cưỡng bức
C. Biên độ dao động cưỡng bức là biên độ của lực cưỡng bức
D. Dao động của con lắc đồng hồ là dao động cưỡng bức
Câu 11: Một vật dao động điều hòa theo một trục cố định ( mốc thế năng tại vị trí cân bằng) thì
A. thế năng của vật cực đại khi vật ở vị trí biên
B. khi vật đi từ vị trí cân bằng ra biên, vận tốc và gia tốc cùng dấu
C. động năng của vật cực đại khi gia tốc của vật có độ lớn cực đại
D. khi đi qua vị trí cân bằng, gia tốc của vật có độ lớn cực đại.
![]() |
Câu 13: Một con lắc đơn gồm quả cầu kim loại nhỏ, khối lượng m, treo vào sợi dây mảnh có chiều dài l, trong điền trường đều E nằm ngang. Khi đó, vị trí cân bằng của con lắc tạo với phương thẳng đứng góc . So với khi chưa có điện trường, chu kì dao động bé của con lắc sẽ
A. tăng √2 lần B. giảm 2 lần
C. tăng 2 lần D. giảm √2 lần
Câu 14: Một vật nhỏ dao động điều hòa theo một trục cố định. Phát biểu nào đúng?
A. Quỹ đạo con lắc là một đoạn thẳng
B. Lực kéo về tác dụng vào vật không đổi
C. Quỹ đạo chuyển động của vật là đường hình sin
D. Li độ của vật tỉ lệ với thời gian dao động
Câu 15: Một vật khối lượng m, dao động điều hòa với phương trình x=Acos (ωt). Mốc thế năng ở vị trí cân bằng, cơ năng vật này bằng
A. 0,5m ω2A2 B. m ω2A C. 0,5m ωA2 D. 0,5m ω2A
Câu 16: Một vật dao động điều hòa với gia tốc cực đại 86,4 m/s2, vận tốc cực đại 2,16m/s. Quỹ đạo chuyển động của vật có chiều dài
A. 5,4 cm B. 10,8 cm C. 6,2 cm D. 12,4 cm

Câu 18: Cho một ống sao có một đầu bịt kín và một đầu để hở. Biết rằng ống sao phát âm to nhất ứng với hai họa âm liên tiếp là 150Hz và 250Hz. Tần số âm nhỏ nhất mà ống sao phát ra âm to nhất bằng
A. 50 Hz B. 75 Hz C. 25 Hz D. 100 Hz
Câu 19: Trên mặt thoáng của một chất lỏng có hai nguồn sóng A và B cách nhau 10cm, dao động cùng pha, cùng tần số 5 Hz. Gọi (∆) là đường trung trực của AB. Trên đường tròn đường kính AB, điểm mà trên đó dao động với biên độ cực tiểu cách (∆) một khoảng nhỏ nhất là 1,4cm. Tốc độ truyền sóng trên mặt chất lỏng là
A. 0,42 m/s B. 0,84 m/s C. 0,30 m/s D. 0,60 m/s
Câu 20: Đặt điện áp xiay chiều vào hai đầu đoạn mạch nối tiếp gồm tụ điện và điện trở R = 40 Ω thì điện áp giữa hai đầu đoạn mạch lệch pha pi/3 so với cường độ dòng điện trong đoạn mạch. Tổng trở của đoạn mạch bằng
A. 80 Ω B. 40 √3 Ω C. 80 √3 Ω D. 160 Ω
Câu 21: Phát biểu nào sau đây đúng với đoạn mạch xoay chiều nối tiếp?
A. Nếu chỉ biết hệ số công suất của đoạn mạch, ta xác định được điện áp giữa hai đầu mạch sớm pha hơn cường độ dòng điện qua đoạn mạch một góc bằng bao nhiêu?
B. Hệ số công suất của đoạn mạch càng lớn thì công suất tiêu thụ điện của mạch đó càng nhỏ
C. Cuộn cảm có thể có hệ số công suất khác không
D. Hệ số công suất của đoạn mạch RLC phụ thuộc vào các giá trị R, L và C, không phụ thuộc vào tần số của dòng điện trong mạch.
Câu 22: Đặt điện áp xoay chiều có giá trị hiệu dụng U vào hai đầu đoạn mạch RLC nối tiếp theo thứ tự. Điều chỉnh điện dung của tụ điện để điện áp hiệu dụng hai đầu tụ điện cực đại và có giá trị Uc = 2U. Điện áp hiệu dụng hai đầu đoạn mạch chứa R và L là
A. (√3/2)U B. √3U C. 2 √3U D. U

Câu 24: Phát biểu nào đúng khi nói về sóng cơ?
A. Biên độ sóng có thể thay đổi khi sóng lan truyền
B. Tốc độ truyền sóng phụ thuộc vào môi trường
C. Tốc độ truyền sóng trong chân không có giá trị lớn nhất
D. Bước sóng không đổi khi lan truyền qua các môi trường đồng tính
Câu 25: Ở bề mặt một chất lỏng có hai nguồn phát sóng kết hợp S1 và S2 cách nhau 19 cm. Hai nguồn dao động theo phương thẳng đứng với phương trình lần lượt là u1 = 5cos(40pi.t) mm và u2=5cos(40.pi.t+pi) mm. Tốc độ truyền sóng trên mặt chất lỏng là 80 cm/s. Số điểm dao động với biên độ cực đại trên đoạn nối hai nguồn là
A. 9 B. 10 C. 8 D. 11
Câu 26: Một sóng âm truyền trong thép với tốc độ 5820m/s. Nếu độ lệch pha của sóng âm đó ở hai điểm gần nhau nhất cách nhau 1,0m trên cùng phương truyền sóng là pi/3 thì tần số sóng bằng
A. 9700 Hz B. 1940 Hz C. 5820 Hz C. 970 Hz
![]() |
Câu 29: Đặt điện áp u=U0cos ωt vào hai đầu đoạn mạch chỉ có tụ điện C thì cường độ dòng điện trong mạch là i. Phát biểu nào đúng?
A. Ở cùng thời điểm, điện áp u chậm pha pi/2 so với cường độ i
B. Dòng điện i luôn ngược pha điện áp u
C. Ở cùng thời điểm dòng điện i chậm pha pi/2 so với điện áp u
D. Dòng điện i luôn cùng pha điện áp u
Câu 30: Một đoạn mạch điện xoay chiều gồm điện trở thuần R nối tiếp tụ điện C. Nếu dung khảng Zc bằng R thì cường độ dòng điện qua điện trở
A. nhanh pha pi/2 so với điện áp ở hai đầu đoạn mạch
B. nhanh pha pi/4 so với điện áp hai đầu đoạn mạch
C. chậm pha pi/2 so với điện áp ở hai đầu đoạn mạch
D. chậm pha pi/4 so với điện áp hai đầu đoạn mạch
Câu 31: Đặt điện áp xoay chiều có giá trị hiệu dụng 150V vào hai đầu đoạn mạch có R nối tiếp cuộn thuần cảm L. Điện áp hiệu dụng giữa hai đầu cuộn cảm là 120V. Hệ số công suất của đoạn mạch bằng
A. 0,6 B. 0,8 C. 0,7 D. 0,9
Câu 32: Âm do một chiếc đàn bầu phát ra
A. nghe càng trầm khi biên độ âm càng nhỏ và tần số âm càng lớn
B. nghe càng cao khi mức cường độ âm càng lớn
C. có độ cao phụ thuộc vào hình dạng, kích thước hộp cộng hưởng
D. có âm sắc phụ thuộc vào dạng đồ thị của âm
Câu 33: Ở mặt nước có hai nguồn sóng giống nhau A và B, cách nhau 12cm đang dao động theo phương vuông góc mặt nước, tạo ra sóng có bước sóng 1,2cm. M và N là hai điểm khác nhau thuộc mặt nước, cách đều hai nguồn và cách trung điểm I của AB 8cm. Số điểm dao động cùng pha A, B trên đoạn MN là
A. 5 B. 6 C. 7 D. 3
Câu 34: Tốc độ truyền sóng cơ phụ thuộc vào yếu tố nào sau đây?
A. Bản chất môi trường B. Bước sóng
C. Tần số sóng D. Năng lượng sóng
Câu 35: Gọi d là khoảng cách giữa hai điểm trên phương truyền sóng. Nếu d=(2n +1) v.T/2, n là các số tự nhiên, v là vận tốc truyền sóng, T là chu kì sóng thì hai điểm đó dao động
A. cùng pha B. ngược pha
C. vuông pha D. độ lệch pha không xác định
Câu 36: Trên một sợi dây căng ngang, hai đầu cố định có sóng dừng với tần số 5Hz. Biên độ dao động của điểm bụng sóng là 2cm. Khoảng cách gần nhất giữa hai điểm của hai bó sóng cạnh nhau có cùng biên độ 1 cm là 2 cm. Tốc độ truyền sóng trên dây là
A. 1,2m/s B. 0,6m/s C. 0,8m/s D. 0,4m/s
Câu 37: Một nguồn âm dược coi như nguồn điểm phát ra sóng âm trong một môi trường coi như không hấp thụ và phản xạ âm. Công suất của nguồn là 0,225V. Cường độ âm chuẩn là I0=10-12 W/m2. Mức cường độ âm tại điểm cách nguồn 10m là
A. 79,12 dB B. 83,45 dB C. 82,55 dB D. 81,25 bB
Câu 38: Một sóng ngang có phương trình u=5cos(8pi.t - 0,04pi.x) lan truyền trên dây rất dài, trong đó u và x đo bằng cm. Tốc độ truyền sóng trên dây là
A. 1 m/s B. 2,5 m/s C. 2 m/s D. 1,5 m/s
Câu 39: Cho đoạn mạch AB gồm R, L và C nối tiếp. Cuộn thuần cảm có độ tự cảm thay đổi được. Đặt vào hai đầu mạch điện áp u=100 √6cos(100pi.t) V. Điều chỉnh L để điện áp hiệu dụng hai đầu cuộn cảm cực đại thì điện áp hai đầu tụ điện là 200V. Giá trị điện áp hiệu dụng cực đại hai đầu cuộn cảm là
A. 150V B. 250V C. 300V D. 100V
Câu 40: Đặt điện áp u=U √2cos ωt vào hai đầu đoạn mạch RLC nối tiếp trong đó tụ điện có điện dung thay đổi được. Khi thì điện áp hiệu dụng hai dầu bản tụ có giá trị cực đại và điện áp hiệu dụng hai đầu R là 75V. Khi đso vào thời điểm điện áp tức thời hai đầu mạch bằng 75 √6V thì điện áp tức thời hai đầu đoạn mạch RL bằng 25 √6V. Điện áp hiệu dụng giữa hai đầu mạch bằng
A. 75 √6V B. 75 √3V C. 150V D. 152 √2 V
Câu 41: Cho đoạn mạch nối tiếp gồm điện trở R=60 Ω, tụ điện C và cuộn dây có độ tự cảm thay đổi được. Đặt vào hai đầu mạch điện áp 180V – 50Hz. Khi thay đổi độ tự cảm của cuộn dây tới giá trị mà cảm kháng cuộn dây là 30 Ω thì công suất tiêu thụ của đoạn mạch có giá trị lớn nhất, đồng thời uRC vuông pha với điện áp hai đầu cuộn dây. Công suất lớn nhất này bằng
A. 432W B. 192W C. 576W D. 216W

Câu 44: Đoạn mạch xoay chiều RLC nối tiếp có điện áp hiệu dụng hai đầu mạch không đổi. Hiện tượng cộng hưởng xảy ra khi
A. thay đổi tần số f để điện áp hiệu dụng hai đầu tụ cực đại
B. thay đổi điện dung C để công suất tiêu thụ của mạch cực đại
C. thay đổi điện trở R để công suất tiêu thụ của mạch cực đại
D. thay đổi độ tự cảm L để điện áp hiệu dụng hai đầu cuộn cảm cực đại
Câu 45: Một đoạn mạch dao động lí tưởng gồm cuộn thuần cảm L không đổi và tụ C có điện dung thay đổi. Điều chỉnh điện dung của tụ đến giá trị C1 thì tần số dao động riêng của mạch là f1. Để tần số dao động riêng của mạch là √5f1 thì phải điều chỉnh điện dung của tụ điện đến
A. 5C1 B. C1/5 C. √5C1 D. C1/ √5
Câu 46: Một đoạn mạch dao động lí tưởng gồm cuộn cảm L và tụ điện có điện dung C. Trong mạch đang có dao động điện từ tự do. Vào thời điểm t, dòng điện qua cuộn dây có cường độ bằng 0 thì ở thời điểm t+pi √LC
A. năng lượng điện trường của tụ điện có giá trị bằng nửa giá trị cực đại của nó
B. điện tích trên một bản tụ có giá trị bằng nửa giá trị cực đại của nó
C. điện tích trên tụ điện có giá trị bằng không
D. dòng điện qua cuộn dây có giá trị bằng không
Câu 47: Trong mạch dao động LC có dao động điện từ tự do với chu kì riêng là T thì
A. khoảng thời gian giữa hai lần liên tiếp năng lượng điện trường cực đại là T/2
B. năng lượng điện trường và năng lượng từ trường biến đổi tuần hoàn với chu kì T
C. khi năng lượng từ trường có giá trị cực đại thì năng lượng điện trường cũng có giá trị cực đại
D. khoảng thời gian giữa hai lần liên tiếp năng lượng lượng điện trường bằng năng lượng từ trường là T/2
Câu 48: Cho đoạn mạch LC lí tưởng có L=4 μH. Tại thời điểm t=0, dòng điện trong mạch có giá trị bằng nửa giá trị cực đại của nó và có độ lớn đang tăng. Thời điểm gần nhất ( từ t=0) để dòng điện trong mạch có giá trị bằng không là 5/6 μs. Điện dung của tụ điện bằng
A. 25 mF B. 25 nF C. 25 pF D. 25 μF
Câu 49: Một điểm trong không gian có sóng điện từ truyền qua , thì tại đó
A. vecto cảm ứng từ và vecto cường độ điện trường luôn cùng hướng với vecto vận tốc
B. cảm ứng từ và cường độ điện trường luôn lệch pha
C. cường độ điện trường và cảm ứng từ luôn dao động cùng pha
D. vecto cường độ điện trường và vecto cảm ứng từ luôn ngược hướng
Câu 50: Khi nói về cơ năng chất điểm dao động điều hòa, phát biểu nào sau đây sai? Cơ năng của chất điểm dao động điều hòa luôn bằng
A. tổng động năng và thế năng ở thời điểm bất kì
B. thế năng ở vị trí biên
C. động năng ở thời điểm ban đầu
D. động năng ở vị trí cân bằng
Kiến Thức sẽ giới thiệu đáp án của đề thi thử THPT quốc gia môn Vật lý này ở bài sau.
Chân giò heo, món thịt mùa đông giàu collagen, được xem như ‘vũ khí’ dưỡng da, giúp phụ nữ giữ làn da săn chắc, mịn màng và trẻ trung tự nhiên.
Một số thực phẩm quen thuộc là nguồn dưỡng chất dồi dào, giúp người trung niên và cao tuổi tăng sức đề kháng, cải thiện tiêu hóa, duy trì năng lượng.
Một người hiến tinh trùng mang đột biến gene TP53 đã truyền gene nguy hiểm cho hàng trăm trẻ ở 14 nước châu Âu, đặt ra câu hỏi về quy trình kiểm tra an toàn.
Nam thanh niên 32 tuổi ngộ độc tetrodotoxin từ cá nóc được cứu sống nhờ cấp cứu kịp thời.
Hoạt động nhảy dây giúp cho cơ thể được vận động toàn diện, tăng khả năng đốt cháy calo nhiều hơn.
Bệnh nhân nam sinh năm 1992 ở Trảng Bom nhiễm đậu mùa khỉ, đã ổn định sau điều trị. Lực lượng y tế truy vết để ngăn chặn dịch lây lan.
Một bệnh nhân bị ong vò vẽ đốt đã thoát khỏi nguy hiểm nhờ cấp cứu kịp thời, cảnh báo không tự ý xử lý tại nhà khi gặp phản ứng phản vệ.
Bệnh não mô cầu cực kỳ nguy hiểm vì có thể diễn tiến nặng và gây tử vong chỉ trong vòng 24 giờ kể từ khi có triệu chứng như sốt cao, đau đầu dữ dội, mệt mỏi...
Nam thanh niên 32 tuổi ngộ độc tetrodotoxin từ cá nóc được cứu sống nhờ cấp cứu kịp thời.
Một số thực phẩm quen thuộc là nguồn dưỡng chất dồi dào, giúp người trung niên và cao tuổi tăng sức đề kháng, cải thiện tiêu hóa, duy trì năng lượng.
Bệnh não mô cầu cực kỳ nguy hiểm vì có thể diễn tiến nặng và gây tử vong chỉ trong vòng 24 giờ kể từ khi có triệu chứng như sốt cao, đau đầu dữ dội, mệt mỏi...
Bệnh nhân nam sinh năm 1992 ở Trảng Bom nhiễm đậu mùa khỉ, đã ổn định sau điều trị. Lực lượng y tế truy vết để ngăn chặn dịch lây lan.
Một người hiến tinh trùng mang đột biến gene TP53 đã truyền gene nguy hiểm cho hàng trăm trẻ ở 14 nước châu Âu, đặt ra câu hỏi về quy trình kiểm tra an toàn.
Một bệnh nhân bị ong vò vẽ đốt đã thoát khỏi nguy hiểm nhờ cấp cứu kịp thời, cảnh báo không tự ý xử lý tại nhà khi gặp phản ứng phản vệ.
Chân giò heo, món thịt mùa đông giàu collagen, được xem như ‘vũ khí’ dưỡng da, giúp phụ nữ giữ làn da săn chắc, mịn màng và trẻ trung tự nhiên.
Hoạt động nhảy dây giúp cho cơ thể được vận động toàn diện, tăng khả năng đốt cháy calo nhiều hơn.
Bệnh viện Đa khoa tỉnh Quảng Ninh ghi nhận hai ca viêm phổi nặng do sặc dầu, cảnh báo nguy cơ suy hô hấp và tử vong nếu không được xử trí kịp thời.
Sản phụ 49 tuổi đã vượt qua nhiều thử thách để chào đón bé yêu đầu lòng bằng phương pháp sinh mổ.
Sau nhiều ngày cấp cứu, bệnh nhân bị đuối nước mặn nguy kịch được hồi phục chức năng phổi, rút ống nội khí quản và xuất viện trong tình trạng ổn định.
Bệnh nhân bị gãy xương do áo mưa cuốn vào bánh xe, cảnh báo cần cẩn trọng khi sử dụng áo mưa cánh dơi trong thời tiết xấu.
Bệnh nhân 48 tuổi được nội soi cấp cứu thành công dị vật 12 cm trong thực quản, tránh biến chứng nguy hiểm và ổn định sức khỏe sau thủ thuật.
Nhỏ nhắn nhưng giàu dinh dưỡng, quất hồng bì giúp bảo vệ tim mạch, tăng sức đề kháng và dưỡng da mịn màng, ngăn lão hóa từ bên trong.
Bệnh nhi 12 tuổi bị toan chuyển hóa do toan hóa ống thận type I, nhưng điều trị kịp thời giúp trẻ phục hồi hoàn toàn và phát triển bình thường.
Bệnh nhân 32 tuổi bị chấn thương mắt phức tạp sau tai nạn lao động vừa được Khoa Mắt, Bệnh viện Trung ương Thái Nguyên phẫu thuật cấp cứu thành công.
Bệnh nhân 65 tuổi ở Phú Thọ bị bò đá đứt mạch máu khoeo, được bác sĩ tái lập tuần hoàn, giữ lại chi thể.
Mùa đông dễ khiến cơ thể mệt mỏi, tuần hoàn máu kém, những thói quen uống ấm hằng ngày giúp giữ tim khỏe, cơ thể tràn đầy năng lượng.
Bệnh Viện Sản nhi Quảng Ninh cấp cứu và điều trị kịp thời bệnh nhi 13 tháng tuổi bỏng nước sôi độ III, vùng bụng, ngực, chân, tay trái.
Trẻ dưới 5 tuổi mắc ban nhiễm trùng cần khám sớm, đặc biệt khi xuất hiện dấu hiệu nguy hiểm để tránh biến chứng nặng.