![]() |
| Đề thi thử THPT quốc gia 2015 môn Toán của Trường THPT Chuyên Đại học Vinh. |
![]() |
![]() |
![]() |
![]() |
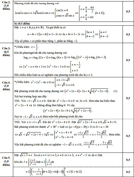
| Đáp án đề thi thử THPT quốc gia 2015 môn Toán của Trường THPT Chuyên Đại học Vinh. |
![]() |
| Đề thi thử THPT quốc gia 2015 môn Toán của Trường THPT Chuyên Đại học Vinh. |
![]() |
![]() |
![]() |
![]() |
| Đáp án đề thi thử THPT quốc gia 2015 môn Toán của Trường THPT Chuyên Đại học Vinh. |
Giàu protein, canxi và vitamin nhóm B, tôm đồng là món ăn dân dã nhưng mang giá trị dinh dưỡng cao, hỗ trợ xương chắc khỏe, tăng sức đề kháng, tốt cho tim mạch.
Từ nguyên liệu quen thuộc, bò nhúng giấm mang đến món ăn dễ làm, vị chua ngọt hài hòa, thích hợp cho những bữa cơm quây quần, sum vầy.
Đi ngủ một giờ cố định đều đặn giúp hệ thần kinh giao cảm ổn định, giảm hormone căng thẳng và hỗ trợ huyết áp giảm tự nhiên vào ban đêm.
Gừng có tác dụng chống viêm, giảm đau, hỗ trợ tiêu hóa, cải thiện lưu lượng máu... nhưng cần dùng đúng liều lượng để tránh tác dụng phụ.
Từ nguyên liệu quen thuộc, bò nhúng giấm mang đến món ăn dễ làm, vị chua ngọt hài hòa, thích hợp cho những bữa cơm quây quần, sum vầy.
Giàu protein, canxi và vitamin nhóm B, tôm đồng là món ăn dân dã nhưng mang giá trị dinh dưỡng cao, hỗ trợ xương chắc khỏe, tăng sức đề kháng, tốt cho tim mạch.
Gừng có tác dụng chống viêm, giảm đau, hỗ trợ tiêu hóa, cải thiện lưu lượng máu... nhưng cần dùng đúng liều lượng để tránh tác dụng phụ.
Đi ngủ một giờ cố định đều đặn giúp hệ thần kinh giao cảm ổn định, giảm hormone căng thẳng và hỗ trợ huyết áp giảm tự nhiên vào ban đêm.
Các vị trí thường bị chèn ép dây thần kinh khi tập tạ chủ yếu nằm ở những vùng phải chịu tải lớn hoặc tham gia nhiều vào việc ổn định cơ thể.
Hạt kê - loại ngũ cốc nhỏ bé nhưng giàu dinh dưỡng, đang được nhiều gia đình ưa chuộng nhờ lợi ích nổi bật cho xương khớp, tim mạch, tiêu hóa và đường huyết.
Chỉ với 30 phút mỗi ngày và những động tác đơn giản tại nhà, bạn có thể cải thiện chiều cao, giữ dáng thon gọn và cột sống khỏe mạnh.
Món canh chế biến từ sườn non và khoai từ dễ làm, bổ dưỡng, giúp thanh lọc cơ thể, thích hợp cho bữa ăn gia đình ấm cúng.
Mùa đông dễ gây đầy bụng và khiến gan hoạt động nhiều hơn. Bổ sung các loại rau cải quen thuộc giúp tiêu hóa nhẹ nhàng, giữ cơ thể khỏe khoắn.
Quả đậu rồng giàu protein, chất xơ và khoáng chất, giúp duy trì sức khỏe xương, bảo vệ tim mạch, hỗ trợ tiêu hóa và tăng cường đề kháng.
Một số thức uống màu đỏ giàu chất chống oxy hóa được chứng minh giúp giảm cholesterol LDL, hỗ trợ tim mạch khỏe mạnh khi được bổ sung điều độ.
Người đàn ông viêm tụy cấp nặng do lạm dụng rượu, cảnh báo hậu quả nghiêm trọng nếu không phát hiện và điều trị kịp thời.
Nam thanh niên 32 tuổi ngộ độc tetrodotoxin từ cá nóc được cứu sống nhờ cấp cứu kịp thời.
Một số thực phẩm quen thuộc là nguồn dưỡng chất dồi dào, giúp người trung niên và cao tuổi tăng sức đề kháng, cải thiện tiêu hóa, duy trì năng lượng.
Bệnh não mô cầu cực kỳ nguy hiểm vì có thể diễn tiến nặng và gây tử vong chỉ trong vòng 24 giờ kể từ khi có triệu chứng như sốt cao, đau đầu dữ dội, mệt mỏi...
Bệnh nhân nam sinh năm 1992 ở Trảng Bom nhiễm đậu mùa khỉ, đã ổn định sau điều trị. Lực lượng y tế truy vết để ngăn chặn dịch lây lan.
Một người hiến tinh trùng mang đột biến gene TP53 đã truyền gene nguy hiểm cho hàng trăm trẻ ở 14 nước châu Âu, đặt ra câu hỏi về quy trình kiểm tra an toàn.
Một bệnh nhân bị ong vò vẽ đốt đã thoát khỏi nguy hiểm nhờ cấp cứu kịp thời, cảnh báo không tự ý xử lý tại nhà khi gặp phản ứng phản vệ.
Chân giò heo, món thịt mùa đông giàu collagen, được xem như ‘vũ khí’ dưỡng da, giúp phụ nữ giữ làn da săn chắc, mịn màng và trẻ trung tự nhiên.
Hoạt động nhảy dây giúp cho cơ thể được vận động toàn diện, tăng khả năng đốt cháy calo nhiều hơn.