Mời các bạn tham khảo đáp án đề thi môn Toán, Văn, Anh trong kỳ thi tuyển sinh vào lớp 10 do Sở GD-ĐT TPHCM đưa ra.
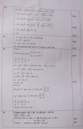
Đáp án đề thi môn Toán:
![]() |
![]() |
![]() |
| Đáp án đề thi Toán kỳ thi tuyển sinh vào vào lớp 10 TPHCM. |
Đáp án môn Văn:
![]() |
![]() |
![]() |
| Đáp án đề thi môn Văn kỳ thi vào lớp 10 TP HCM |
Đáp án môn Tiếng Anh:
![]() |
| Đáp án đề thi môn Tiếng Anh kỳ thi vào lớp 10 TPHCM. |
TP HCM dự định ngày 22/6 sẽ công bố điểm thi vào lớp 10. Thí sinh nộp đơn phúc khảo từ 22 - 24/6; 29/6 công bố kết quả phúc khảo; 11/7 công bố điểm chuẩn vào lớp 10 THPT.
Đối với lớp 10 chuyên, dự kiến công bố điểm chuẩn ngày 23/6. Học sinh nộp hồ sơ vào lớp 10 chuyên từ 23 – 25/6. Sau thời gian này, nếu học sinh dự thi lớp 10 chuyên không nộp hồ sơ thì vẫn được xét tuyển vào lớp 10 thường theo 3 nguyện vọng như các học sinh khác.
Ông Nguyễn Tiến Đạt cho biết, tổng chỉ tiêu vào lớp 10 của tất cả các loại hình (công lập, ngoài công lập, trung cấp chuyên nghiệp, giáo dục thường xuyên) là 105.538 chỉ tiêu trong khi số thí sinh thi vào lớp 10 là hơn 77.000, đảm bảo có đủ chỗ học cho tất cả học sinh lớp 9 của TPHCM.






