Những đề toán hack não thách đố người muốn dùng Wi-Fi "chùa"

Những đề toán hack não thách đố người muốn dùng Wi-Fi "chùa"

Trường cấp 3 cung cấp mật khẩu Wi-Fi qua bài tập toán nhằm khuyến khích tinh thần học tập của các em. Trong khi đó, nhà hàng làm vậy để kéo khách hàng ra khỏi chiếc điện thoại.

Mới đây, câu chuyện học sinh trường THPT Nguyễn Công Trứ (An Giang) giải toán mỗi ngày để lấy mật khẩu Wi-Fi được chia sẻ và gây chú ý trên diễn đàn. Dân mạng tỏ ra rất thích thú trước cách làm sáng tạo của thầy trò trường ở An Giang. Ảnh: Sơn Tuấn.
Mới đây, câu chuyện học sinh trường THPT Nguyễn Công Trứ (An Giang) giải toán mỗi ngày để lấy mật khẩu Wi-Fi được chia sẻ và gây chú ý trên diễn đàn. Dân mạng tỏ ra rất thích thú trước cách làm sáng tạo của thầy trò trường ở An Giang. Ảnh: Sơn Tuấn.
Sơn Tuấn - học sinh trường THPT Nguyễn Công Trứ - cho Zing.vn biết những đề toán đều do đích thân thầy hiệu trưởng đưa ra, nhằm khuyến khích tinh thần học tập của học trò. "Các bài toán thuộc phạm vi kiến thức đã học. Cứ một tiếng, thầy lại đổi đề một lần nên phải làm thật nhanh. Học sinh rất hào hứng với cách làm này vì ai cũng muốn dùng Wi-Fi 'full vạch', nhưng đôi lúc cũng nản vì đề hơi khó", 10X kể. Ảnh: Sơn Tuấn.
Sơn Tuấn - học sinh trường THPT Nguyễn Công Trứ - cho Zing.vn biết những đề toán đều do đích thân thầy hiệu trưởng đưa ra, nhằm khuyến khích tinh thần học tập của học trò. "Các bài toán thuộc phạm vi kiến thức đã học. Cứ một tiếng, thầy lại đổi đề một lần nên phải làm thật nhanh. Học sinh rất hào hứng với cách làm này vì ai cũng muốn dùng Wi-Fi 'full vạch', nhưng đôi lúc cũng nản vì đề hơi khó", 10X kể. Ảnh: Sơn Tuấn.
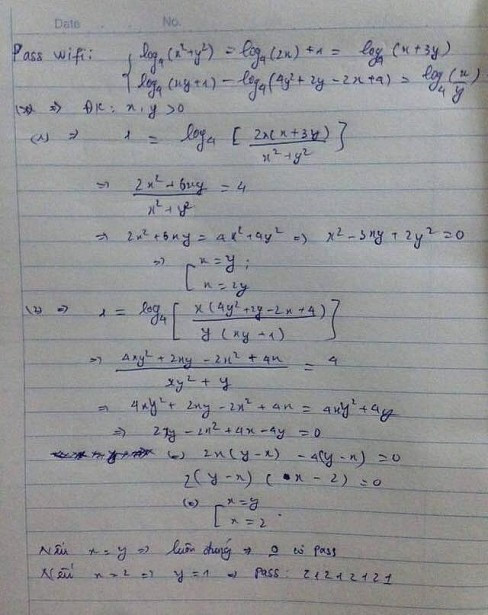
Đây không phải lần đầu tiên thầy cô sử dụng những bài toán "khó nhằn" để thách đố học sinh muốn dùng Wi-Fi. Trước đó, nhiều bạn trẻ cũng từng lan truyền bức ảnh cô giáo cung cấp mật khẩu Wi-Fi qua một phương trình đại số phức tạp. Ảnh: FB.
Đây không phải lần đầu tiên thầy cô sử dụng những bài toán "khó nhằn" để thách đố học sinh muốn dùng Wi-Fi. Trước đó, nhiều bạn trẻ cũng từng lan truyền bức ảnh cô giáo cung cấp mật khẩu Wi-Fi qua một phương trình đại số phức tạp. Ảnh: FB.
Cách đặt mật khẩu Wi-Fi bằng đáp án của một đề toán rắc rối không chỉ được áp dụng tại các trường học, mà ngày càng trở nên phổ biến tại các quán cà phê, nhà hàng. Bức ảnh yêu cầu người dùng giải hệ phương trình để lấy mật khẩu Wi-Fi tại một quán cà phê được chia sẻ trên mạng từng nhận được gần 25.000 lượt yêu thích. Ảnh: FB.
Cách đặt mật khẩu Wi-Fi bằng đáp án của một đề toán rắc rối không chỉ được áp dụng tại các trường học, mà ngày càng trở nên phổ biến tại các quán cà phê, nhà hàng. Bức ảnh yêu cầu người dùng giải hệ phương trình để lấy mật khẩu Wi-Fi tại một quán cà phê được chia sẻ trên mạng từng nhận được gần 25.000 lượt yêu thích. Ảnh: FB.
Dân mạng cảm thấy thích thú trước cách tiết lộ mật khẩu độc đáo của chủ quán nước. Tuy nhiên, không ít khách hàng đã phải lên mạng "cầu cứu" vì độ khó của bài toán. Ngay sau đó, bài giải và đáp án đã được một số người tìm ra và chia sẻ lên mạng. Ảnh: FB.
Dân mạng cảm thấy thích thú trước cách tiết lộ mật khẩu độc đáo của chủ quán nước. Tuy nhiên, không ít khách hàng đã phải lên mạng "cầu cứu" vì độ khó của bài toán. Ngay sau đó, bài giải và đáp án đã được một số người tìm ra và chia sẻ lên mạng. Ảnh: FB.
Thế nhưng, không phải bất cứ lời giải cho câu đố về mật khẩu Wi-Fi nào cũng được nhanh chóng tìm ra như vậy. Ở nước ngoài, một số nhà hàng cũng dùng các phương trình hóa học, công thức toán học, vật lý... để cung cấp mật khẩu Wi-Fi với mục đích gây khó khăn, khiến khách hàng từ bỏ các thiết bị kết nối Internet và tập trung vào việc ăn uống. Ảnh: FB.
Thế nhưng, không phải bất cứ lời giải cho câu đố về mật khẩu Wi-Fi nào cũng được nhanh chóng tìm ra như vậy. Ở nước ngoài, một số nhà hàng cũng dùng các phương trình hóa học, công thức toán học, vật lý... để cung cấp mật khẩu Wi-Fi với mục đích gây khó khăn, khiến khách hàng từ bỏ các thiết bị kết nối Internet và tập trung vào việc ăn uống. Ảnh: FB.
Một nhà hàng tại Thái Lan cung cấp mật khẩu Wi-Fi miễn phí qua một bài toán. Vì không thể tìm ra đáp án, khách hàng đã chia sẻ lên mạng và nhờ giúp đỡ. Tuy nhiên, tất cả kết quả được đưa ra đều không phù hợp. Nhiều người cho rằng có thể đây chỉ là câu đố mẹo, không phải một bài toán thực sự. Ảnh: Reddit.
Một nhà hàng tại Thái Lan cung cấp mật khẩu Wi-Fi miễn phí qua một bài toán. Vì không thể tìm ra đáp án, khách hàng đã chia sẻ lên mạng và nhờ giúp đỡ. Tuy nhiên, tất cả kết quả được đưa ra đều không phù hợp. Nhiều người cho rằng có thể đây chỉ là câu đố mẹo, không phải một bài toán thực sự. Ảnh: Reddit.

GALLERY MỚI NHẤT