Đề thi và lời giải môn Toán thi vào lớp 10 tại Hà Nội

Đề thi và lời giải môn Toán thi vào lớp 10 tại Hà Nội

Chiều 8/6, thí sinh dự thi vào lớp 10 làm bài môn Toán, thời gian 120 phút. Sau đây là đề thi và lời giải môn Toán tuyển sinh lớp 10 Hà Nội.

Đề thi môn Toán thi vào lớp 10 tại Hà Nội.
Đề thi môn Toán thi vào lớp 10 tại Hà Nội.
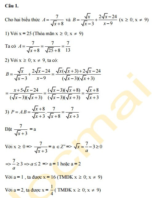
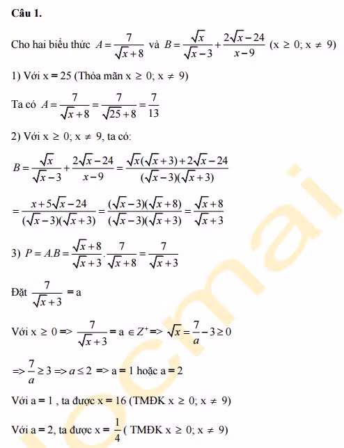
Lời giải môn Toán thi vào lớp 10 tại Hà Nội - Câu 1.
Lời giải môn Toán thi vào lớp 10 tại Hà Nội - Câu 1.
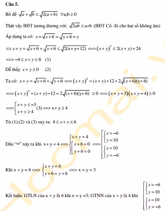
Lời giải môn Toán thi vào lớp 10 tại Hà Nội - Câu 2.
Lời giải môn Toán thi vào lớp 10 tại Hà Nội - Câu 2.

GALLERY MỚI NHẤT

OpenAI bất ngờ khai tử Sora

OpenAI bất ngờ khai tử Sora

OpenAI đột ngột đóng cửa công cụ tạo video Sora chỉ sau 4 tháng ra mắt, khiến thỏa thuận 1 tỷ USD với Disney tan vỡ và cộng đồng AI ngỡ ngàng.